道格拉斯—普克法

算法描述

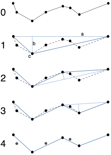
道格拉斯-普克算法(Douglas–Peucker algorithm,亦称为拉默-道格拉斯-普克算法、迭代适应点算法、分裂与合并算法)是将曲线近似表示为一系列点,并减少点的数量的一种算法。它的优点是具有平移和旋转不变性,给定曲线与阈值后,抽样结果一定。

思路

  • 首先,将一条曲线首末点连一条直线
  • 求出其余各点到该直线的距离
  • 选其最大者与规定的临界值相比较
    • 若大于临界值,则离该直线距离最大的点保留
    • 否则将直线两端间各点全部舍去

要求

  1. 根据道格拉斯一普克法,编写程序对经过兰勃特投影的中国版图数据进行抽稀处理 (不限语言)
  2. 屏幕绘图显示压缩前后的地图数据
  3. 数据压缩率为 50%

代码

Github 库地址:https://github.com/ZvonimirSun/DouglasPeucker

1
2
3
4
5
6
7
8
9
10
11
12
13
14
15
16
17
18
19
20
21
22
23
24
25
26
27
28
29
30
31
32
33
34
35
36
37
38
39
40
41
42
43
44
45
46
47
48
49
50
51
52
53
54
55
56
57
58
59
60
61
62
63
64
65
66
67
68
69
70
71
72
73
74
75
76
77
78
79
80
81
82
83
84
85
86
87
88
89
90
91
92
93
94
95
96
97
98
99
100
101
102
103
104
105
106
107
108
109
110
111
112
113
114
115
116
117
118
119
120
121
122
123
124
125
126
127
128
129
130
131
132
133
134
135
136
137
138
139
140
141
142
143
144
145
146
147
148
149
150
151
152
153
154
155
156
157
158
159
160
161
162
163
164
165
166
167
168
169
170
171
172
173
174
175
176
177
178
179
180
181
182
183
184
185
186
187
188
189
190
191
192
193
194
195
196
197
198
199
200
201
202
203
204
205
206
207
208
209
210
211
212
213
214
215
216
217
218
219
220
221
222
223
224
225
226
227
228
229
230
231
232
233
234
235
236
237
238
239
240
241
242
243
244
245
246
247
248
249
250
251
252
253
254
255
256
257
258
using System;
using System.Collections.Generic;
using System.Windows.Forms;
using System.IO;

namespace 道格拉斯_普克法
{
public partial class DouglasPeucker : Form
{
public DouglasPeucker()
{
InitializeComponent();
}

public struct Point
{
public double x { get; set; }
public double y { get; set; }
public bool existance { get; set; }
}

/// <summary>
/// 道格拉斯普拉格压缩算法
/// </summary>
public class Compress
{
public List<Point[]> lineList = new List<Point[]>();
private double e;// 误差限制

/// <summary>
/// 运行算法
/// </summary>
/// <param name="filePath">文档路径</param>
/// <param name="outPath">输出路径</param>
public Compress(string filePath, string outPath, double e)
{
this.e = e;
readFile(filePath);
for (int i = 0; i < lineList.Count; i++)
{
compressFile(1, (int)lineList[i][0].x, i);
}
writeFile(outPath);
}

/// <summary>
/// 读取文档
/// </summary>
/// <param name="P">文档所在路径</param>
void readFile(string P)
{
try
{
//
int flag = 0;
StreamReader sr = new StreamReader(P);
Point[] pointList = new Point[1000];
int count = 0;
while (!sr.EndOfStream)
{
// 按行读取文件
string line = sr.ReadLine();

// 判断是否为线的开始
int temp;
if (int.TryParse(line, out temp))
{
pointList = new Point[1000];
count = 0;
flag = 1;
continue;
}

// 判断结尾
if (line == "END")
{
// 线的结束
if (flag == 1)
{
pointList[0].x = count;

lineList.Add(pointList);
flag = 0;
continue;
}
if (flag == 0)
{
break;
}
}

// 如果不是开头或结尾,则读取点
string[] p = line.Split(',');

count++;
pointList[count].x = double.Parse(p[0]);
pointList[count].y = double.Parse(p[1]);
pointList[count].existance = true;
}
}
catch
{
MessageBox.Show("Error!");
}
}

/// <summary>
/// 压缩算法
/// </summary>
/// <param name="FirstPoint">线的开始节点</param>
/// <param name="LastPoint">线的结束节点</param>
/// <param name="index">线的索引</param>
void compressFile(int FirstPoint, int LastPoint, int index)
{
double max = 0;// 记录最大距离
int FarthestPoint = 0;// 记录最远节点

// 如果只剩两个节点则退出
if ((LastPoint - FirstPoint) > 1)
{
// 判断是否为环路
if (lineList[index][FirstPoint].x == lineList[index][LastPoint].x && lineList[index][FirstPoint].y == lineList[index][LastPoint].y)
{
int mid = (int)((FirstPoint + LastPoint) / 2);// 拆分环路
compressFile(FirstPoint, mid, index);
compressFile(mid, LastPoint, index);
}

// 寻找最大距离
for (int i = FirstPoint + 1; i < LastPoint; i++)
{
double temp = pointToLineDistance(lineList[index][FirstPoint], lineList[index][LastPoint], lineList[index][i]);
if (temp > max)
{
max = temp;
FarthestPoint = i;
}
}

// 根据界限判断是否压缩
if (max <= e)
{
for (int i = FirstPoint + 1; i < LastPoint; i++)
{
lineList[index][i].existance = false;
}
}
else
{
compressFile(FirstPoint, FarthestPoint, index);
compressFile(FarthestPoint, LastPoint, index);
}
}
}

/// <summary>
/// 输出压缩后的文件
/// </summary>
/// <param name="P">输出路径</param>
void writeFile(string P)
{
try
{
StreamWriter sw = new StreamWriter(File.Open(P, FileMode.Create));
for (int i = 0; i < lineList.Count; i++)
{
sw.WriteLine(i + 1);
for (int j = 1; j <= lineList[i][0].x; j++)
{
if (lineList[i][j].existance)
{
sw.Write("{0},{1}", lineList[i][j].x, lineList[i][j].y);
sw.WriteLine();
}
}
sw.WriteLine("END");
}
sw.WriteLine("END");
sw.Close();
MessageBox.Show("Success!");
}
catch
{
MessageBox.Show("Error!");
}
}

/// <summary>
/// 计算点到线的距离
/// </summary>
/// <param name="A">直线的一个端点</param>
/// <param name="B">直线的另一个端点</param>
/// <param name="P">需要计算距离的点</param>
/// <returns>返回距离</returns>
double pointToLineDistance(Point A, Point B, Point P)
{
double normalLength = Math.Sqrt((B.x - A.x) * (B.x - A.x) + (B.y - A.y) * (B.y - A.y));
return Math.Abs((P.x - A.x) * (B.y - A.y) - (P.y - A.y) * (B.x - A.x)) / normalLength;
}
}

/// <summary>
/// 打开文件
/// </summary>
private void btnOpen_Click(object sender, EventArgs e)
{
using (OpenFileDialog OpenFD = new OpenFileDialog()) //实例化一个 OpenFileDialog 的对象
{
OpenFD.Filter = "Generate Files (*.gen)|*.gen|" + "All files (*.*)|*.*";
//定义打开的默认文件夹位置
OpenFD.InitialDirectory = Environment.GetFolderPath(Environment.SpecialFolder.MyDocuments);
if (OpenFD.ShowDialog() == DialogResult.OK) //显示打开本地文件的窗体
{
txtFile.Text = OpenFD.FileName;
}
}
}

/// <summary>
/// 压缩文件并输出
/// </summary>
/// <param name="sender"></param>
/// <param name="e"></param>
private void btnCompress_Click(object sender, EventArgs e)
{
if (txtFile.Text != "")
{
if (txtE.Text != "")
{
double temp;
if (double.TryParse(txtE.Text, out temp))
{
SaveFileDialog sfd = new SaveFileDialog();
sfd.Filter = "Generate Files (*.gen)|*.gen|" + "All files (*.*)|*.*";
sfd.InitialDirectory = Environment.GetFolderPath(Environment.SpecialFolder.MyDocuments);
if (sfd.ShowDialog() == DialogResult.OK)
{
Compress c = new Compress(txtFile.Text, sfd.FileName, temp);
}
}
else
{
MessageBox.Show("请输入数字!");
}
}
else
{
MessageBox.Show("请输入数字!");
}
}
else
{
MessageBox.Show("请选择文件!");
}
}
}
}

代码如果存在问题,请一定帮我指正!大神,谢谢了!